Welcome to the Jackson Water Supply Corp. Agendas Page.
Agendas
Related Documents
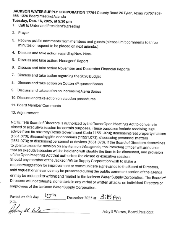
- AGENDA BOARD MEETING NOVEMBER 18, 2025 ( PDF / 106 KB )
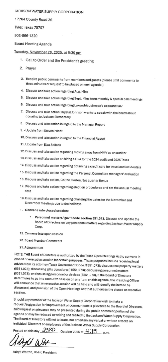
- October Board Meeting 10-28-2025 ( PDF / 609 KB )
- AGENDA BOARD MEETING SEPTEMBER 23, 2025 ( PDF / 391 KB )
- Agenda Special Meeting 09.03.2025 ( PDF / 345 KB )
- Board Meeting Agenda August 26, 2025 ( PDF / 625 KB )
- Agenda July 22, 2025 Board Meeting ( PDF / 368 KB )
- Agenda Board Meeting June 24, 2025 ( PDF / 439 KB )
- Agenda May 27th, 2025 Board Meeting ( PDF / 590 KB )
- Agenda April 22, 2025 ( PDF / 491 KB )
- Annual Meeting 03.25.2025 ( PDF / 434 KB )
- View More
